食生活や栄養のバランスが崩れることがうつ病の発症や悪化に関わりやすいとの指摘があります(参考:うつ病に良い栄養は葉酸や鉄分)。最近では、腸内細菌との関わりや、過敏性腸症候群についても研究論文で指摘されています。国立精神・神経医療研究センターの功刀浩先生が第22回病態栄養学会学術集会*1で講演した内容を紹介します。
目次

過敏性腸症候群は、明確な原因がないのに下痢や便秘などの便通異常を伴う腹痛や腹部不快感が慢性的にくり返され、不安やストレスを感じると症状が強くなるもので、腸内細菌が関わっている可能性が指摘されています。
功刀先生らの研究グループは、43人の大うつ病患者さんのグループ(以下、うつ病グループ)と、57人の健康な人のグループ(以下、健康グループ)で、腸内細菌とうつ病との関わりや、過敏性腸症候群の合併率を検討しています*2。以下、紹介します。
まず、腸内細菌に関する検討結果です。便を採取して善玉菌のビフィズス菌と乳酸桿菌(ラクトバチルス)の菌数を、うつ病グループ、健康グループで比較しました。
その結果、うつ病グループでは健康グループに比べてビフィズス菌の総菌数が統計学的検討で有意*3に少なく、ラクトバチルスの総菌数も低下傾向にありました。
また、うつ病グループと健康グループとを区別する便1g当たりの菌数(カットオフ値)を算出し、それぞれの菌のカットオフ値以下であった割合を比較しました。
その結果、ビフィズス菌がカットオフ値以下であった人の割合は、うつ病グループでは49%で、健康グループの23%に比べて高いことがわかりました。
統計学的に分析した結果、便1g当たりのビフィズス菌の数がカットオフ値以下だと、うつ病を発症するリスクが約3倍になることが示唆されました(図1)。
ラクトバチルスがカットオフ値以下の割合は、うつ病グループでは65%と健康グループの42%に比べて高く、便1g当たりのラクトバチルスの菌数がカットオフ値以下だと、うつ病を発症するリスクがおよそ2.5倍になることが示唆されました(図2)。
図1:大うつ病患者さんと健康な人のビフィズス菌の比較
図2:大うつ病患者さんと健康な人の乳酸桿菌(ラクトバチルス)の比較
出典:J Affect Disord. 2016;202:254-7、国立精神・神経医療研究センタープレスリリース(2018年6月9日)*2
過敏性腸症候群を合併している人の割合を検討すると、健康グループでは12%、それに対しうつ病グループでは33%でした。
上記の割合を統計学的に分析した結果、うつ病の人では健康な人に比べて過敏性腸症候群を3倍合併しやすくなることが示唆されました。
さらに、ビフィズス菌やラクトバチルスの数が上記のカットオフ値より低い人は、過敏性腸症候群症状をもつリスクが高くなることがわかりました。
体内の腸内細菌の構成には日常の食生活が深く関係しているので、ビフィズス菌や乳酸菌を多く含む飲料やヨーグルトなどの摂取頻度と腸内細菌の関係を調べました。
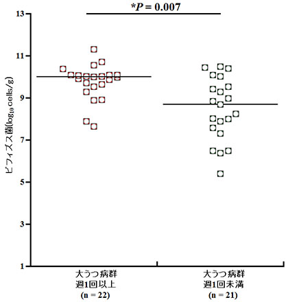
その結果、うつ病グループでは摂取習慣が週に1回未満の人では、週1回以上の人に比べて腸内のビフィズス菌の菌数が有意に低いことが確認されました(図3)。
図3 うつ病患者さんにおけるヨーグルトや乳酸菌飲料の摂取頻度と腸内のビフィズス菌の比較
出典:J Affect Disord. 2016;202:254-7、国立精神・神経医療研究センタープレスリリース(2018年6月9日)*2
また、海外では乳酸菌飲料やヨーグルトなどのプロバイオティクス(生きた善玉菌を含む食品などのことです)を8週間摂取したうつ病患者さんのグループと、プロバイオティクスそっくりのプラセボを摂取した患者さんのグループで比較した研究があります*4。
結果を見ると、うつ病の症状や糖尿病に関連する評価指標、症状に関わる指標の体内物質のC反応性タンパクなどからみた病気の改善度は、プロバイオティクスを摂取したグループのほうが高いことが明らかになりました。
以上から、うつ病患者さんは善玉菌が少ない人が多く、乳酸菌飲料やヨーグルトなどのプロバイオティクスを摂取すると、うつ病の予防や治療に有効となる可能性があります。
最後になりますが、功刀先生は日常の食生活がうつ病に深く関係しているので、栄養素(葉酸や鉄分、腸内細菌など)に気をつけることが重要になるとのことです。
■関連記事





